[Home] Dynamics로 돌아가기
[YouTube Shorts] Manual; 사용법
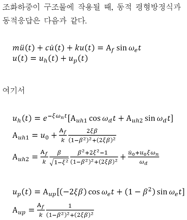
Harmonic Excitation Response Calculator
(조화가진 응답 계산기)
Mass (m, kg) [Default 1.2232e+04]:
Damping Ratio (ξ, %) [Default 5%]:
Stiffness (k, N/m) [Default 2.1070e+06]:
Initial Displacement (u0, m) [Default 0]:
Initial Velocity (v0, m/sec) [Default 0]:
Amplitude of Applied Force (Af, N) [Default 12000]:
Frequency of Sine Excitation (ωe, rad/sec) [Default 6]:
Duration (tmax, sec) [Default 5]:
Calculate
Results:
Displacement Response:
Reference